SciPost Submission Page
Random matrix universality in dynamical correlation functions at late times
by Oscar Bouverot-Dupuis, Silvia Pappalardi, Jorge Kurchan, Anatoli Polkovnikov, Laura Foini
This is not the latest submitted version.
Submission summary
| Authors (as registered SciPost users): | Oscar Bouverot-Dupuis · Silvia Pappalardi · Anatoli Polkovnikov |
| Submission information | |
|---|---|
| Preprint Link: | https://arxiv.org/abs/2407.12103v4 (pdf) |
| Date submitted: | May 16, 2025, 1:17 p.m. |
| Submitted by: | Oscar Bouverot-Dupuis |
| Submitted to: | SciPost Physics |
| Ontological classification | |
|---|---|
| Academic field: | Physics |
| Specialties: |
|
| Approaches: | Theoretical, Computational |
Abstract
We study the behavior of two-time correlation functions at late times for finite system sizes considering observables whose (one-point) average value does not depend on energy. In the long time limit, we show that such correlation functions display a ramp and a plateau determined by the correlations of energy levels, similar to what is already known for the spectral form factor. The plateau value is determined, in absence of degenerate energy levels, by the fluctuations of diagonal matrix elements, which highlights differences between different symmetry classes. We show this behavior analytically by employing results from Random Matrix Theory and the Eigenstate Thermalisation Hypothesis, and numerically by exact diagonalization in the toy example of a Hamiltonian drawn from a Random Matrix ensemble and in a more realistic example of disordered spin glasses at high temperature. Importantly, correlation functions in the ramp regime do not show self-averaging behaviour, and, at difference with the spectral form factor the time average does not coincide with the ensemble average.
Author indications on fulfilling journal expectations
- Provide a novel and synergetic link between different research areas.
- Open a new pathway in an existing or a new research direction, with clear potential for multi-pronged follow-up work
- Detail a groundbreaking theoretical/experimental/computational discovery
- Present a breakthrough on a previously-identified and long-standing research stumbling block
List of changes
We are glad that both Referees appreciate the quality of our work. In particular we thank Referee 1 for his/her publication recommendation and below we address the questions of Referee 2.
1 Whenever $\partial_e A(e)$, with $e=E/N$ the energy density of the saddle-point, is of order one in system's size there will always be polynomial corrections in $N$ coming from the diagonal part of the matrix elements.
1' What is important is the value at the saddle point level, as pointed out by the referee. However, note that $\partial_e A(e)$ gives the first correction, and all derivatives should be zero from our arguments. In this sense we say that the expectation value doesn't depend on the energy. Following the referee's comments, we have added a better discussion of these assumptions (highlighted in blue in the pdf attached to this answer).
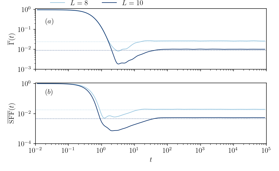
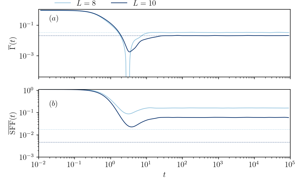
2 Even if the data in Fig.4/6 may seem to depend on energy, actually these are just statistical fluctuations, disappearing as $L\to\infty$. To corroborate the data, let us note that the value of $\overline{\langle S_i \rangle} = M^z/L$ is not expected to depend on temperature (i.e. energy) in the high temperature phase of the model that we considered. In our simulation we took $M^z=2/L$ to remove eventual degeneracies at $M^z=0$.
3 We checked that the ramp persists, introducing a finite value of $\beta$, as shown in the plot attached (not shown in the manuscript). At low enough temperature the model is expected to have a spin glass transition where ETH arguments are not predicted to hold.
4 We have added that the derivation within ETH has been obtained assuming that $f(\omega=0)$ is finite.
Current status:
Reports on this Submission
Report #1 by Anonymous (Referee 1) on 2025-7-1 (Invited Report)
- Cite as: Anonymous, Report on arXiv:2407.12103v4, delivered 2025-07-01, doi: 10.21468/SciPost.Report.11501
Report
Additionally, the forms of the corrections to correlation functions which arise in the generic case, where the diagonal part of ETH does depend on energy density, are now discussed briefly below Eq. (36), and the authors establish a contrast with [29].
In connection with this, the authors write ‘In fact, if ∂eA(e), with e = E/N the energy density, is of order one in the system’s size, there will always be polynomial corrections in L coming from the diagonal part of the matrix elements after integration by saddle-point (see below)’. Should the text read e = E/L here? Are the ‘polynomial corrections’, referenced here, corrections to the two-point function? This sentence would benefit from rephrasing.
The authors also write ‘Γ is not positively defined, so in the slope, it shows negative oscillations’, which may be an error.
The comment ‘The noise observed in Fig. 5 could be suppressed introducing some dissipation [40].’ is pretty confusing, since introducing noise or dissipation would completely change the problem. For example, the ETH would no longer be applicable.
Recommendation
Publish (meets expectations and criteria for this Journal)

Oscar Bouverot-Dupuis on 2025-05-16 [id 5486]
"3chiral_spinglass_beta1.png" plot
Attachment:
Oscar Bouverot-Dupuis on 2025-05-16 [id 5485]
"3chiral_spinglass_beta0.1.png" plot
Attachment:
Anonymous on 2025-05-16 [id 5484]
Attached to this comments (and the following) are the documents mentionned in the answer to the referees. "blue_corrected_manuscript.pdf" is the manuscript with the corrections highlighted in blue, and "2chiral_spinglass_beta0.1.pdf" and "3chiral_spinglass_beta1.pdf" are plots showing how the ramp/plateau are affected by the inverse temperature $\beta=0.1,1$ in the chiral spinglass model.
Attachment:
blue_corrected_manuscript.pdf